AREA48/HP50 - ENGLISH VERSION - Hardly under construction, even during Covid's Time!

Flip the cell phone horizontally.
 

HP50
for beginners!


Search Area48 for HP50:


This page is set also to be viwed in mobile phone.
Exercises


Note:
Some exercises of Limits and Series
takes a long time to solve and also can freeze the calculator.

1- Using algebraic mode, do: 2- Using RPN mode, do:
1) Sin(30)
(Angle Mode DEG)

2 ) 2 + 3 +5 × 2/9 - 94

3) 2 + 9 + 7 + 5 - (-4) × 5 + √(32)

4) 1 + 2 + 3 + 4 + 5

5) tan(3) + sin(4) × cos(2) - 59
(Angle Mode RAD)

6) 1 / ∞ + 5

7) 3 - 4 - 5 × (-3) + 7 +9

8) 18 × 12- 150 +4 × 5

9 ) 331 × 1/3

10) 7 × 7 - 2 × 4 + 4 + 4
1) Sin(30)
(Angle Mode DEG)

2 ) 2 + 3 +5 × 2/9 - 94

3) 2 + 9 + 7 + 5 - (-4) × 5 + √(32)

4) 1 + 2 + 3 + 4 + 5

5) tan(3) + sin(4) × cos(2) - 59
(Angle Mode RAD)

6) 1 / ∞ + 5

7) 3 - 4 - 5 × (-3) + 7 +9

8) 18 × 12- 150 +4 × 5

9 ) 331 × 1/3

10) 7 × 7 - 2 × 4 + 4 + 4
3- Find the
following limits:
4 - FInd the
following integrals
1)


2)


3)


4)


5)


6)


7)


8)


9)


10)


Press + [4], to access Calc Menu
In Calc Menu select Limits & Series





Exercise "g".




Exercise "n".



Press + to solve.

Answer: 0.25
5 - Solve folowing
lists and statistics
6 - Plot graphic of the
following functions
1)
{1 2 3 4 5 6 7 8 9 }
Do reverse list.

Use +
to access Math Menu.
In Math Menu select List.
In List Menu select Revlist


2)
{1 2 2 3 3 4 5 6 3 7 8 9 }
Find mode (value that repeat most time)

3)
{1 8 9 0 2 3 7 }
Find ordered list (sort)

4)
{1 2 3 3 4 5 6 7 8 9 }
Find mediana

5)
{1 2 3 4 5 6 7 8 9 }
Find mediana

6)
{1 2 3 4 5 6 7 8 9 }
Find standard desviation (for a sample)

7)
{1 2 3 4 5 6 7 8 9 }
Find standard desviation (for a population)

8)
{1 2 3 4 5 6 7 8 9 }
{1 2 3 4 5 5 5 8 9 }
Catenate lists

9)
{9 8 6 4 2 0 -1 }
Quadrate list

10)
{1 2 3 4 5 6 7 8 9 }
{1 2 3 4 5 6 7 8 9 }
sum list

1) y = sin(x)

2) y = cos (x)

3) y = tan (x)

4) y = tan(x) and y = x2

5) y = x2 + 2x + 5

6) y = √x

7) y = 1/tan (x)

8) y = 1/x

9) y = cos2(x)

10) y = tan2(x)


Plot of y = sin(1/x)




y = tan x) and y = x2
7 - Easy Programs 8 - Find Derivatives
1) Make a program to sum 2 numbers

2) Make a program to find module
of a number

3) Make a program to sum 3 numbers

4) Make a program to find logarithm
of a number

5) Make a program to calculate the square
of a number

6) Make a program to duplicate the stack
(use DUP)

7) Make a program to show what is entering
(use INPUT OBG→)


8) Make a program to change tags

9) Make a program to find roots
(use Baskara formule)

10) Make a program to calculate
the cubic root
of a number

1) f(x) = sin(x)
+


2) f(x) = sinh(x)

3) f(x) = cos(x4)

4) f(x) = x3 + 3x2 + 8x + 5

5) f(x) = 10 (function constant = 10)

6) f(x) = √(sinh(x))

7) f(x) = cos(x) x sinh(x)

8) f(x) = sin(x) + cos(x)

9) f(x) = √(x3 + (y(sup4) derivate for y

10) f(x) = √(x3 + (y(sup4) derivate for x

9- Using Keyboard 10 - Practsing Typing
1) Edit a program
(use and click on the function key that has
the program name and after press

2) Use EQW and write x3 + 2x2 + 4x + 8

3) Use EQW and write Sin(x)/Sin(x2)

4) Clear the stack (use + CLEAR)
(use + to access)

5) find how much memory has you calc (use MEM)

6) Write "Hello world!"

7) use CAT KEY ( + SYMB and find SAME
(use and press + S)

8) use CAT KEY and find UBASE
(use and press + U)

9) use CAT KEY and find INPUT
(use and press + I)

10) Navegate by Coord System.
Use + + + +

1) Type "5" delete it. Recover it using UNDO +

2) Type "sin(5)" (5 + SIN(x) ), delete it. Recover it using UNDO

3) Type "AAA" delete it. Recover it using UNDO

4) Type "1234. Duplicate it using

5) Find the invese of 30. Type 30 and use

5) Convert 1,000,000

6 Find the invese of 30. Type 30 and use

7) Write "my name is Spock! with smal letters.

8) Do HP50 emits a beep,
Type 440 1 BEEP and press

9) Find the invese of "A". Type "A" and use

10)Practice typing, typing the following text.
My name is Carlos, I am from Earth!
I am glad to know you, Mr. Spock!
Long life and prosper!



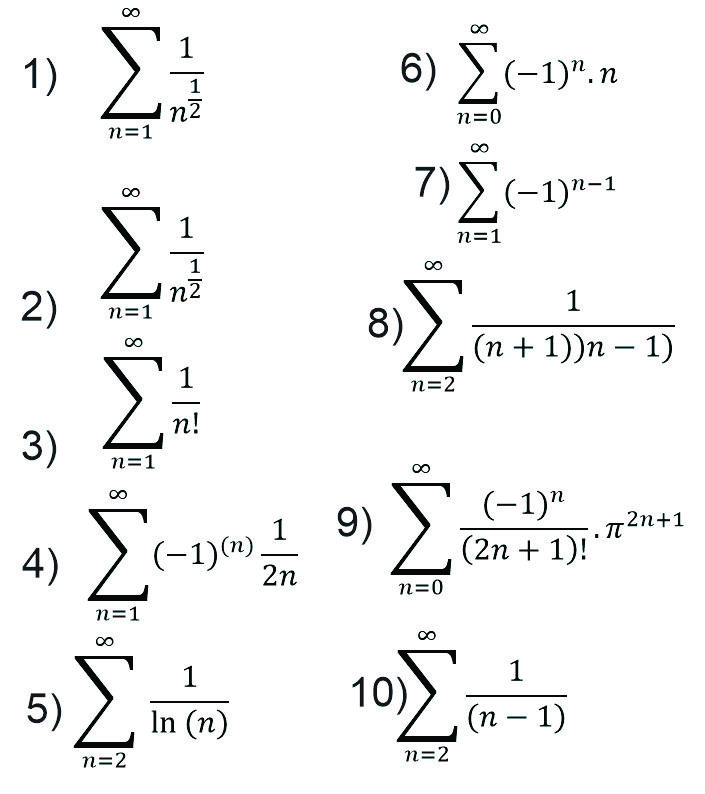
11) Series
Verify behaviour of the series:



Exercise 1:


Curiosity:
12) Matrices
Calculate:





Anti stress Area

Gustavo Lima and Valeria Barros - Não Tem Adeus Quando se Ama

Video source: youtube.com



End of Page